ÐÂÎŶ¯Ì¬
NEWS
½üÄêÀ´£¬ï®µç³ØµÄµç»¯Ñ§Ä£ÐÍÔÚµç³ØÖÎÀíϵͳÁìÓòµÄÓ¦Óñ¸ÊܹØ×¢¡£µç»¯Ñ§Ä£ÐÍÒòÆäÉæ¼°²ÎÊýÖڶ࣬²¢ÇÒ²ÎÊýÖ®¼äµÄÃô¸ÐÐÔ¾ßÓо޴ó²î±ð£¬Ê¹µÃ²ÎÊý±æÊ¶³ÉΪÏÞÖÆµç»¯Ñ§Ä£ÐÍÉú³¤µÄ“¿¨²±×Ó”ÄÑÌâ¡£
ʲôÊDzÎÊý±æÊ¶£¿ÈçºÎÌáÉý²ÎÊý±æÊ¶ËÙ¶È£¿¿ìËÙ²ÎÊý±æÊ¶µÄÒâÒåÊÇʲô£¿¹ØÓÚÕâЩÎÊÌ⣬±¾ÆÚµÄTech Talk£¬ÎÒÃÇÑûÇëµ½Á˱ØÒ»ÌåÓýÄÜÔ´Ëã·¨¹¤³ÌʦºÂ¹¤£¬ºÍ¸÷ÈË·ÖÏí±ØÒ»ÌåÓýÄÜÔ´ÈçºÎÀûÓöàÏîÓ²¿Æ¼¼ÊµÏÖÁË»ùÓÚÊý¾ÝÇý¶¯µÄÈ˹¤ÖÇÄÜï®µç³Øµç»¯Ñ§Ä£ÐÍ¿ìËÙ²ÎÊý±æÊ¶¼¼Êõ£¬¿ìËÙ¡¢¸ßЧ¡¢×¼È·µÄ²ÎÊý±æÊ¶ÒªÁ콫ÈçºÎÍÆ¶¯ÐÂÒ»´ú¸üÏȽø¡¢ÖÇÄܵĻùÓڵ绯ѧģÐÍµÄµç³ØÖÎÀíϵͳºÍµç³ØÄþ¾²ÖÎÀí¼¼ÊõµÄÉú³¤ºÍÂ䵨¡£

ºÂ¹¤ ±ØÒ»ÌåÓýÄÜÔ´Ëã·¨¹¤³Ìʦ
01 ΪʲôҪ×ö²ÎÊý±æÊ¶£¿
ºÂ¹¤£ºï®µç³ØÄ£ÐÍÖ÷Òª°üÀ¨µÈЧµç·ģÐÍ¡¢×迹ģÐͺ͵绯ѧģÐ͵ȣ¬ÆäÖеÈЧµç·ģÐÍÖ»ÄÜÅÌËã³öµç³ØµÄÍâ²¿ÌØÕ÷£¬¶øµç»¯Ñ§Ä£Ð;«¶È×î¸ß£¬¿ÉÒÔÅÌËãµç³ØµÄÄÚÍâ²¿ÌØÐÔ£¬Ö¸Ê¾ÏÂÒ»´ú¸üÏȽø¡¢¸üÖÇÄÜµÄµç³ØÖÎÀíϵͳÉú³¤Æ«Ïò¡£

²ÎÊý±æÊ¶ÄÑ¶ÈµÄÆé᫺ÍÄ£Ð;«¶È³ÉÕý±È
ÎÞÂÛʹÓÃÄÄÖÖÄ£ÐÍ£¬ÎÒÃǶ¼ÐèÒªÖªµÀµç³ØµÄÄ£ÐͲÎÊý¡£²ÎÊý±æÊ¶ÄÑ¶ÈµÄÆé᫺ÍÄ£Ð;«¶È³ÉÕý±È£¬ÒÔ¶þ½×µÈЧµç·ΪÀý£¬Ä£ÐÍֻɿ¼°ÁË5¸ö²ÎÊý£¬Ä£Ð;«¶È¾Í´ó´òÕÛ¿Û¡£µç»¯Ñ§Ä£ÐÍÊÇÓɶà¸ö¸ß¶ÈñîºÏµÄƫ΢·Ö·½³Ì¶Ôϵͳ±ä¸ï½øÐÐÃèÊö£¬Éæ¼°¼¸Ê®¸ö²ÎÊý£¬ÕûÌåÅÌËãÄѶȶ¼Ô¶´óÓÚ¶þ½×µÈЧµç·ģÐÍ¡£
02 ÔõÑù×ö²ÎÊý±æÊ¶£¿
ºÂ¹¤£º¹Å°åµÄ²ÎÊý±æÊ¶ÒªÁ죨ÇÖÈëÐÔʵÑ飩ÍùÍùÐèÒªÔÚë²ÆøÇé¿öÏÂ²ð¿ªµç³Ø£¬Ê¹ÓÃ×îÏȽøµÄ²âÊÔÒÇÆ÷¶Ôµç³ØÖÊÁϽøÐвâÊÔ£¬ÕûÌå²âÊÔʱ¼ä³¤´ïÊýÔ£¬ÕâÖÖÒªÁì·ÑʱÐÁ¿à£¬»¹¼«´óµÄÔö¼ÓÁ˵绯ѧģÐ͵ÄʹÓñ¾Ç®£¬²¢ÇÒÔÚÄ³Ð©ÌØ¶¨Ìõ¼þÏ£¬ÓÉÓÚ±£ÃÜÐÒéµÄÏÞÖÆ£¬²»ÔÊÐí½øÐÐÇÖÈëÐÔµÄµç³Ø²ÎÊýʶ±ðʵÑ飬Õâ½øÒ»²½Ìá¸ßÁË׼ȷ¡¢¿ìËÙʶ±ðµç»¯Ñ§Ä£ÐͲÎÊýµÄÄѶȡ£Èç¹û¼ÌÐøÊ¹ÓÃÕâÖÖÒªÁìÀ´»ñÈ¡µç³ØµÄ²ÎÊý£¬Äǵ绯ѧģÐÍ»ù±¾ÎÞ·¨ÔÚµç³ØÖÎÀíÁìÓò×öµ½¹æÄ£»¯Éú³¤¡£
ÓëÇÖÈëÐÔʵÑéÏà±È£¬ÓÉÊý¾ÝÇý¶¯µÄ²ÎÊý±æÊ¶ÒªÁì¾ß±¸´ó·ù¶È½µµÍ±¾Ç®£¬½ÚԼʱ¼ä¡¢²»Êܱ£ÃÜÐÒéÏÞÖÆµÄÓÅÊÆ£¬ÔÚ¹¤Òµ½çºÍѧÊõ½ç¶¼ÒýÆðÁ˹㷺¹Ø×¢¡£
ÓÉÊý¾ÝÇý¶¯µÄ²ÎÊý±æÊ¶Ö÷ÒªÊÇͨ¹ýËã·¨ÔÚ²ÎÊýÖµµÄºÏÀí¹æÄ£ÄÚ²»¾øÊÔ̽еIJÎÊýÖµ£¬²¢½«²ÎÊýÖµ´úÈëÄ£ÐÍÖУ¬½«Ä£Ð͵ÄÊä³öÖµÓëµç³ØµÄÕæÊµÕÉÁ¿½øÐбȽϣ¬Ö±ÖÁÕÒ³öÒ»×é²ÎÊýÖµ£¬Ê¹µÃÄ£ÐÍÊä³öÖµÓëµç³ØÊµ²âÖµÏàÎǺϡ£
ͨ¹ýÊý¾ÝÇý¶¯µÄ²ÎÊý±æÊ¶ËäÈ»ÖÆÖ¹Á˲ð½âµç³Ø¶Ôµç³ØÖÊÁϽøÐвâÊÔ£¬µ«²¢²»ÁÏζ×Å»ñÈ¡µç³ØµÄÄ£ÐͲÎÊýÊǼþÈÝÒ×µÄÊÂÇ顣ƾ¾ÝÒÑÓб¨µÀ£¬ÔçÆÚµç»¯Ñ§Ä£ÐͲÎÊý±æÊ¶»¨·ÑÁËԼĪÈýÖܵÄʱ¼ä£¬Ö±µ½×î½üµÄÎÄÏ×±¨µÀÖвÎÊý±æÊ¶µÄʱ¼ä²Å»ñµÃ´ó·ùÌáÉý£¬Ëõ¶ÌÖÁ¼¸¸öСʱ¡£¼´±ãÈç´Ë£¬²ÎÊý±æÊ¶µÄËÙ¶ÈÈÔÊÇÏÞÖÆÐÐÒµÉÌÓõľö¶¨ÒòËØ£¬ÒòΪµ¥¸öµçоµÄ²ÎÊý±æÊ¶¾ÍÐèÒª¼¸¸öСʱ£¬¹ØÓÚÊýÍò½ÚµçоµÄ´¢ÄܵçÕ¾À´Ëµ£¬±æÊ¶³öÈ«²¿µçоµÄ²ÎÊýËùÏûºÄµÄʱ¼ä¼°±¾Ç®¶¼ÊǾ޴óµÄ¡£
03 ÈçºÎÌáÉý²ÎÊý±æÊ¶ËÙ¶È£¿
ºÂ¹¤£ºÊý¾ÝÇý¶¯µÄ²ÎÊý±æÊ¶Ä¿Ç°Ãæ¶ÔµÄÖ÷ÒªÎÊÌâÊǺÄʱ½Ï³¤£¬ÆäÔÒòÖ÷ÒªÓÐÒÔÏÂÁ½µã£ºÒ»Êǵ绯ѧģÐÍÅÓºéˮƽ¸ß£¬Éæ¼°Ðí¶à¸ö¸ß¶ÈñîºÏµÄƫ΢·Ö·½³Ì£¬ÅÌËãºÄʱ³¤£»¶þÊǵ绯ѧģÐͲÎÊý¼«¶à£¬ÕâЩ²ÎÊý×é³É¶à¸ö²ÎÊý¼¯£¬Èç¹ûʹÓÃÍø¸ñ»¯ËÑË÷£¨±©Á¦Çó½â£©£¬ÐèÒªÖØ¸´Å²Óõ绯ѧģÐͽøÐÐÅÌË㣬¾Ù¸öÀý×Ó£¬¼ÙÈç±æÊ¶µÄ²ÎÊýÓÐ30¸ö£¬Ã¿¸ö²ÎÊýÔÚºÏÀí¹æÄ£ÄÚÈ¡10¸öºÏÀíÖµ£¬ÄÇôÐèÒªËÑË÷µÄ²ÎÊý¼¯Îª10³?£¬ÄÇô¾ÍÐèҪŲÓÃ10³?´ÎÄ£ÐͽøÐÐÅÌË㣬ÕâÊÇÒ»¸öÌìÎÄÊý×Ö¡£¼´¼´ÊÇʹÓÃ×îÏȽøµÄÖÇÄÜÆô·¢Ê½Ëã·¨Ò²ÐèŲÓÃÉÏÍò´ÎÄ£ÐͽøÐÐÅÌËã¡£
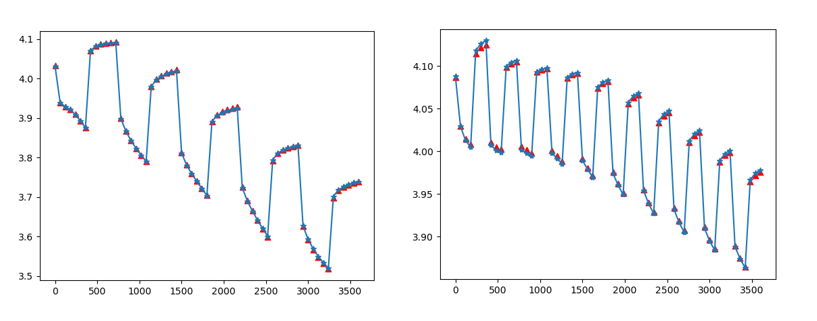
ͬʱÊý¾ÝÇý¶¯µÄ²ÎÊý±æÊ¶ÁíÓбæÊ¶³öµÄ²ÎÊý±£´æ¹ýÄâºÏµÄÎÊÌ⣬¼´ÔÚ±æÊ¶Ê¹ÓõŤ¿öÏ£¬²ÎÊýÄâºÏµÄºÜºÃ£¬µ«ÔÚÆäËü¹¤¿öÏ£¬²ÎÊýÄâºÏµÄ¾«¶ÈÓÐÏÞ¡£


×óͼΪ²ÎÊý±æÊ¶Ê¹ÓõŤ¿ö£¬Îó²î½ÏС
ÓÒͼΪ±æÊ¶³öÀ´µÄ²ÎÊýÔÚÆäËü¹¤¿öϵÄÌåÏÖ£¬Îó²î½Ï´ó
ΪÁ˽â¾öÒÔÉÏÎÊÌ⣬ÎÒÃÇÌá³öÁËÒÔϵĽâ¾ö¼Æ»®£º
1¡¢Í¨¹ýÓ²¼þÇó½âÆ÷¼ÓËÙÄ£ÐÍÅÌËãËÙ¶È£¬¼´Í¨¹ý½«µç»¯Ñ§Ä£Ð͵ÄÇó½âË㷨ǶÈëµ½Ó²¼þÖУ¬¿É³ä·ÖÀûÓÃÓ²¼þµÄ¸ßËÙÅÌËãÄÜÁ¦£¬Æ¾¾Ý²âË㣬ÅÌËãËÙ¶È×î¸ß¿ÉÌá¸ß2000±¶¡£

2¡¢È˹¤ÖÇÄÜ´ó·ù¼õÉÙÄ£ÐÍŲÓôÎÊý£¬Æ¾¾Ý²ÎÊýÃô¸Ð¶ÈºÍ¸ßÃô¸Ð¹¤¿öÆÊÎö£¬Í¨¹ýʵ¼Êµç³ØÊý¾ÝºÍºÏ³Éµç³ØÊý¾ÝÉú³ÉÁ˰üÀ¨ÉÏǧÍòÌõÊý¾ÝµÄÊý¾Ý¼¯£¬²¢ÓÉÊý¾Ý¼¯ÑµÁ·ÁËÉñ¾ÍøÂç¡£¶ÔÐèÒª½øÐвÎÊý±æÊ¶µÄÐÂµç³Ø£¬´ÓÆäʵ¼ÊÔËÐÐÊý¾ÝÖÐÌáÈ¡ÓÃÀ´±æÊ¶µÄÊý¾Ý£¬¾¹ýÉñ¾ÍøÂç¿ìËÙÊä³öÄ£ÐͲÎÊý³õʼֵ£¬¼õÉÙÖÁÉÙÒ»°ëµÄÄ£ÐÍŲÓôÎÊý£¬Í¨¹ýÆô·¢Ê½Ëã·¨¼°Â˲¨Ëã·¨½øÒ»²½±æÊ¶²ÎÊý£¬ÌáÉý²ÎÊý׼ȷ¶È¡£

3¡¢»úеѧϰ¾ÑéÌá¸ß²ÎÊý±æÊ¶¾«È·¶È£¬ÔÚ²ÎÊý±æÊ¶Àú³ÌÖУ¬Ê¹ÓöàÄ¿±êº¯Êý£¬²¢ÔÚÿ¸öepochʹÓÃÑéÖ¤¼¯²âÊÔ±æÊ¶µÄ²ÎÊý¼¯£¬¼õÉÙ²ÎÊý±æÊ¶¹ýÄâºÏ£¬Ìá¸ß²ÎÊýµÄ·º»¯ÄÜÁ¦¡£
µÃÒæÓÚÓ²¼þÇó½âÆ÷µÄ¸ßËÙÅÌËãÄÜÁ¦ºÍÊý¾Ý¼¯ÑµÁ·³öµÄÉñ¾ÍøÂ磬ÎÒÃǽ«Ä¿Ç°Êý¾ÝÇý¶¯µÄ²ÎÊý±æÊ¶ºÄʱËõ¶ÌÖÁ·ÖÖÓ¼¶¡£Î´À´£¬ÎÒÃÇ»¹½«¼ÌÐøÀ©´óÊý¾Ý¼¯£¬ÓÃÀ´ÑµÁ·ÐÔÄܸüºÃµÄÉñ¾ÍøÂ磬½øÒ»²½Ìá¸ß²ÎÊýµÄ±æÊ¶ËÙ¶È¡£
04 ¿ìËÙ²ÎÊý±æÊ¶µÄÒâÒåÊÇʲô£¿
ºÂ¹¤£º²ÎÊý±æÊ¶ÒâÒåÖØ´ó£¬ÊÇµç³ØÄ£ÐÍÅÌËãµÄ»ù´¡£¬¿ìËÙ¡¢¸ßЧ¡¢×¼È·µÄ²ÎÊý±æÊ¶ÒªÁì¸üÊǽ«Ö±½ÓÍÆ¶¯ÐÂÒ»´ú¸üÏȽø¡¢ÖÇÄܵĻùÓڵ绯ѧģÐÍµÄµç³ØÖÎÀíϵͳºÍµç³ØÄþ¾²ÖÎÀí¼¼ÊõµÄÉú³¤ºÍÂ䵨¡£Ã»ÓпìËÙ²ÎÊý±æÊ¶¼¼Êõ£¬»ùÓڵ绯ѧģÐÍµÄµç³ØÖÎÀí¼¼Êõ¾ÍÎÞ·¨Êµ¼ÊÉÌÓùæÄ£»¯Éú³¤¡£

2021Äê4ÔÂ6ÈÕº«¹úÒ»¹â·üµçÕ¾´¢ÄÜϵͳ£¨ESS£©Æð»ð

2021Äê4ÔÂ16ÈÕ·áÌ¨Çø¸£Íþ˹¹â´¢³äÒ»Ì廯ÏîÄ¿±¬·¢»ðÔÖ±¬Õ¨
»ùÓÚ¿ìËÙ±æÊ¶³öµÄÄ£ÐͲÎÊý¿ÉÒÔ¸ü׼ȷÆÀ¹Àµç³ØµÄ״̬£¬Í¬Ê±µç»¯Ñ§Ä£ÐÍÄܹ»·ÂÕæµç³ØÄÚ²¿×´Ì¬£¬¸üΪ׼ȷµØÔ¤²âï®µç³ØµÄÊÙÃüË¥¼õ£¬ÓÐЧԤ·Àï®µç³ØÄþ¾²Ê¹ʵı¬·¢£¬¾«×¼ÆÀ¹Àï®µç³ØÕæÕýµÄÄþ¾²ÔËÐй¤¿ö¹æÄ££¬»¹Äܹ»Í¨¹ý±æÊ¶³öµÄ²ÎÊýÖµµÄ±ä¸ïÁ˽âµç³ØÔÚÀÏ»¯Àú³ÌÖи÷²¿·ÖÖÊÁϵÄË¥ÍË״̬£¬¶Ôµç³ØµÄÉè¼ÆÓÅ»¯Ìá³öÖ¸µ¼Òâ¼û£¬Îªµç»¯Ñ§´¢ÄÜÔړ˫̼”Ä¿±êÏÂÏò¹æÄ£»¯Éú³¤£¬ÌṩÁËÓÐÁ¦×¥ÊÖ¡£
Ëæ×ÅÈ˹¤ÖÇÄܵÄÉú³¤£¬¿ÆÑ§ÔÚ²»¾øÔö½ø¸÷Ïî¼¼ÊõµÄÉú³¤ºÍÁ¢Ò죬Ϊ¸÷¸öÐÐÒµÌṩ¸ü¶à¡¢¸üºÃµÄ¸ïмƻ®£¬±ØÒ»ÌåÓýÄÜÔ´Ò²ÔÚ²»¾øÑ§Ï°ºÍÁ˽âÈ˹¤ÖÇÄܵÄÇ°ÑØ¼¼Êõ£¬Ëæ×Å»ùÓÚÈ˹¤ÖÇÄܵĿìËÙ²ÎÊý±æÊ¶²»¾øÉú³¤£¬±ØÒ»ÌåÓýÄÜÔ´½«Îª¸ü¶àÆóÒµÌá¹©ï®µç³ØÈ«ÉúÃüÖÜÆÚµÄÄþ¾²Ô¤¾¯¼¼Êõ£¬Îª´¢ÄܵçÕ¾´ó¹æÄ£Éú³¤¼°Äþ¾²ÔËÐÐÌṩ֧³Å¡£

Copyright(©) 2021±ØÒ»ÌåÓý »¦ICP±¸19014088ºÅ-1
ÁªÏµ±ØÒ»ÌåÓý Contact Us
ÒµÎñÏàÖú Business Line
µØµã Address
ÉϺ£ÊÐãÉÐÐÇøÌ©ºç·456Ū11ºÅ(лªÁª¹ú¼ÊÖÐÐÄ11ºÅÂ¥)
Õã½¹«Ë¾£ºº¼ÖÝÊÐÓàº¼ÇøÅ·ÃÀ½ðÈÚ³ÇT6´±26²ã
½ËÕ¹«Ë¾£ºÎÞÎýÊÐÐÂÎâÇøÈÚÖÇ´óÏÃC¶°8Â¥